Com a crescente exposição à luz azul, à poluição ambiental e ao estresse oxidativo, proteger as células humanas dos danos causados pelos radicais livres tornou-se crucial. Dentre todos os antioxidantes naturais, o hidroxitirosol (CAS 10597-60-1) tem atraído a atenção da comunidade científica por seu duplo poder antioxidante.
Neste post do blog, a Viablife , fabricante de hidroxitirosol líquido de alta pureza, compartilhará o mecanismo antioxidante duplo do hidroxitirosol à venda e seus efeitos sinérgicos estruturais e de vias metabólicas.
Eficácia antioxidante: Validação dupla in vitro e in vivo
Estudos in vitro: o hidroxitirosol protege as células do estresse oxidativo causado pela luz azul.
Experimentos com células simulam uma das fontes mais comuns de estresse oxidativo moderno: a exposição à luz azul de LEDs. Quando queratinócitos e fibroblastos humanos são irradiados com luz azul, ocorre um aumento na produção de espécies reativas de oxigênio (ROS), levando à oxidação celular, à degradação do colágeno e ao fotoenvelhecimento acelerado.

Nesses experimentos, o tratamento com o antioxidante hidroxitirosol suprimiu acentuadamente a superprodução de ROS e protegeu o colágeno celular da degradação. A resposta foi dose-dependente — concentrações mais altas de hidroxitirosol corresponderam a uma maior inibição de ROS.
Essa descoberta significa que o hidroxitirosol não apenas neutraliza os radicais existentes; ele *previne* efetivamente as reações em cadeia oxidativas causadas pelo estresse induzido pela luz. Sob exposição simulada à luz LED, as células da pele tratadas com hidroxitirosol mantiveram sua integridade estrutural e resistiram a danos oxidativos, comprovando seu forte potencial antioxidante in vitro.
Em resumo, o hidroxitirosol atua como um escudo para a pele e as células dérmicas, combatendo os danos oxidativos ocultos gerados pelas fontes de luz digitais do dia a dia — uma descoberta com relevância direta para formulações tópicas de cuidados com a pele e cosméticos que contenham hidroxitirosol líquido.
Estudos in vivo: fortalecendo a defesa natural da pele.
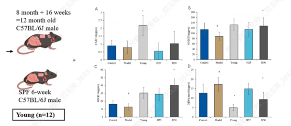
Além dos experimentos em placas de Petri, modelos animais fornecem evidências *in vivo* convincentes. Em um modelo de envelhecimento oxidativo da pele induzido por AGEs (produtos finais de glicação avançada), camundongos tratados com hidroxitirosol apresentaram atividade enzimática antioxidante dramaticamente melhorada.
Os níveis de SOD (superóxido dismutase) e GSH-Px (glutationa peroxidase) aumentaram significativamente, enquanto o MDA (malondialdeído) — um marcador de peroxidação lipídica — diminuiu. Esses resultados indicam que o hidroxitirosol não apenas atua diretamente como um eliminador de radicais livres, mas também fortalece o sistema antioxidante interno do organismo.

Essa dupla ação reduziu o estresse oxidativo nos tecidos e restaurou a homeostase da pele. Em outras palavras, *o hidroxitirosol rejuvenesce a capacidade antioxidante de dentro para fora* — um resultado que valida sua eficácia sistêmica in vivo.
Em conjunto, os estudos em células e animais confirmam que a atividade antioxidante do hidroxitirosol é bioquimicamente poderosa e biologicamente significativa, constituindo a base de suas diversas aplicações.
Mecanismo Antioxidante Interno Duplo: Sinergia entre Estrutura e Via de Atuação
Vantagem estrutural: o grupo orto-diidroxifenólico
O desempenho extraordinário do antioxidante hidroxitirosol tem origem em sua estrutura orto-di-hidroxi (catecol). Essa configuração única permite que o hidroxitirosol doe átomos de hidrogênio de forma eficiente, interrompendo reações em cadeia de radicais livres e estabilizando espécies reativas.
Dados comparativos mostram que compostos do tipo catecol com essa estrutura possuem uma capacidade de eliminação de radicais muito maior do que aqueles que não a possuem. No caso do hidroxitirosol, isso significa que ele pode neutralizar diretamente radicais hidroxila, radicais superóxido e peroxinitrito, que estão entre os agentes oxidantes mais nocivos em sistemas biológicos.
Essa vantagem estrutural explica sua superior supressão *in vitro* de ROS induzida por luz azul. A capacidade de neutralizar os radicais em sua origem confere ao hidroxitirosol um efeito protetor imediato, constituindo a primeira linha de defesa antioxidante.

Regulação de vias: Ativação da rede de defesa celular Nrf2
O segundo mecanismo é celular e adaptativo. O hidroxitirosol faz mais do que eliminar radicais livres — ele também ativa a via de sinalização Nrf2, que orquestra o sistema de defesa antioxidante de longo prazo do organismo.

Após o tratamento com hidroxitirosol, o Nrf2 (fator nuclear eritroide 2 relacionado ao fator 2) transloca-se para o núcleo da célula e liga-se aos elementos de resposta antioxidante (AREs) no DNA. Essa ativação desencadeia a expressão de enzimas antioxidantes e de desintoxicação, incluindo SOD, GPx, GR (glutationa redutase) e GST (glutationa S-transferase).

Pesquisas mostram que, em células tratadas com hidroxitirosol, os níveis nucleares de Nrf2 aumentam enquanto os níveis citosólicos diminuem, confirmando a ativação e translocação bem-sucedidas. Como resultado, as atividades das enzimas GPx, GR e GST aumentam significativamente.
Essa ativação do Nrf2 reduz a geração de ROS e aumenta a capacidade da célula de resistir ao estresse oxidativo, proporcionando proteção antioxidante sustentada mesmo após a exposição inicial aos radicais livres.
Assim, o hidroxitirosol proporciona dois mecanismos complementares:
1. Neutralização imediata de radicais através de sua estrutura catecol.
2. Ativação de antioxidantes endógenos através da sinalização Nrf2.
Essa sinergia — *estrutura + via* — cria uma defesa antioxidante robusta e multicamadas, diferente da maioria dos antioxidantes convencionais que dependem de um único mecanismo.
Qualidade científica por trás do hidroxitirosol: informações sobre fornecedores e fabricantes.
A obtenção de fornecedores confiáveis é fundamental para transformar resultados de laboratório em produtos eficazes. A Viablife, fornecedora de hidroxitirosol, é uma produtora reconhecida mundialmente por sua tecnologia de fermentação de precisão e extração de base biológica.
Como fabricante de hidroxitirosol, a Viablife garante pureza consistente, alta estabilidade e padrões de produção rastreáveis em todos os lotes. Sua formulação líquida de hidroxitirosol simplifica a integração em séruns para a pele, bebidas nutricionais ou suplementos alimentares sem comprometer a potência.
Para marcas ou formuladores que buscam hidroxitirosol para venda, a Viablife fornece não apenas materiais a granel, mas também suporte técnico, orientação em formulação e documentação regulatória. Essa transparência científica ajuda a conectar a pesquisa à comercialização, facilitando o desenvolvimento de produtos antioxidantes de última geração com eficácia comprovada.
Do laboratório à vida real: aplicações práticas do antioxidante hidroxitirosol
Graças à sua dupla validação e mecanismos sinérgicos, o hidroxitirosol tornou-se um ingrediente versátil em múltiplos setores:
* Cuidados com a pele e cosméticos: previne o fotoenvelhecimento oxidativo, protege o colágeno e acalma o estresse causado pela luz azul em formulações tópicas.
* Alimentos e bebidas funcionais: o hidroxitirosol líquido enriquece bebidas e suplementos com atividade antioxidante natural.
* Nutracêuticos: auxiliam a saúde cardiovascular e neurológica através do controle sistêmico de ROS (espécies reativas de oxigênio).
* Pesquisa farmacêutica: sendo explorada para inflamação crônica, distúrbios metabólicos e neurodegenerativos ligados a danos oxidativos.
Sua comprovada capacidade de restaurar o equilíbrio antioxidante tanto externa quanto internamente posiciona o hidroxitirosol como um bioativo de próxima geração para proteção holística.
Conclusão
Desde ensaios celulares *in vitro* até modelos animais *in vivo*, o antioxidante hidroxitirosol demonstra consistentemente sua capacidade de combater o estresse oxidativo, reduzir espécies reativas de oxigênio (ROS) e aumentar a defesa enzimática. Seus mecanismos antioxidantes duplos — um poderoso núcleo estrutural de eliminação de radicais livres e a ativação da via de defesa Nrf2 — garantem proteção abrangente desde o nível molecular até o sistêmico.
Com o respaldo de pesquisas e produzido com precisão pelo fornecedor de hidroxitirosol Viablife, este composto natural exemplifica como a biotecnologia moderna e a compreensão molecular convergem para oferecer benefícios tangíveis para a saúde e a beleza.
Seja em cuidados com a pele, nutrição ou formulações avançadas de bem-estar, o hidroxitirosol se destaca como uma referência para o futuro dos antioxidantes bioativos — cientificamente comprovado, estruturalmente potente e biologicamente inteligente.
Chinês
Estados Unidos
Espanha
Russo
França
Alemanha
Italiano
Japão
Arabe
Português
Coreano
Tailandês
Grego
Índia




Leave a Message